Notary Public Affidavit Of Loss at Daryl Snyder blog

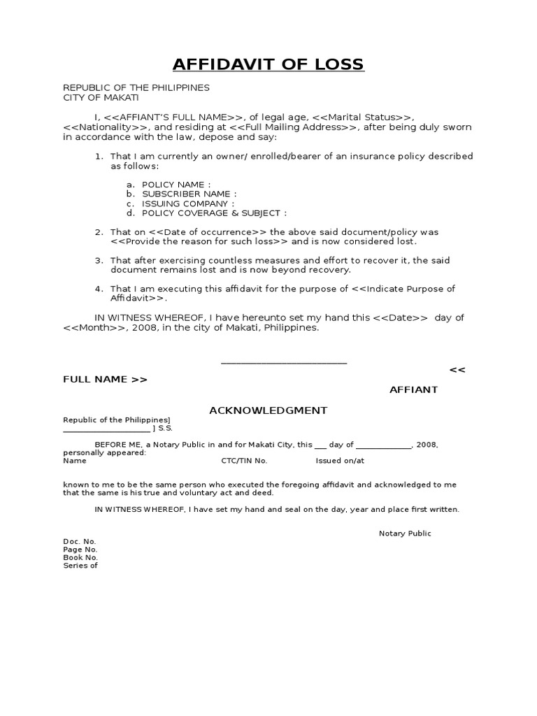
Notary Public Affidavit Of Loss. here is a downloadable free sample of an affidavit of loss: this document is easy to fill out and contains the basic information needed for a complete affidavit of. an affidavit of loss is a legal document that formally declares the loss of a specific item. the affiant is required to bring a valid id for identification purposes and sign the affidavit in front of the notary public. This legal statement declares the circumstances of the loss and is essential for obtaining replacements or for legal purposes. an affidavit of loss is a crucial document in the philippines, often required when important documents or items are lost. Print at least three copies of the document. It is essential in replacing lost or stolen items, providing a. how to get a notarized affidavit of loss in 3 easy steps. you can have your affidavit of loss drafted and signed a notary public for a minimal fee, but if you want to create your own affidavit, we have. This article provides an overview of the affidavit of loss and a basic template for drafting one.

Affidavit of Loss Affidavit Notary Public
from www.scribd.com

here is a downloadable free sample of an affidavit of loss: this document is easy to fill out and contains the basic information needed for a complete affidavit of. It is essential in replacing lost or stolen items, providing a. an affidavit of loss is a legal document that formally declares the loss of a specific item. This article provides an overview of the affidavit of loss and a basic template for drafting one. you can have your affidavit of loss drafted and signed a notary public for a minimal fee, but if you want to create your own affidavit, we have. an affidavit of loss is a crucial document in the philippines, often required when important documents or items are lost. Print at least three copies of the document. This legal statement declares the circumstances of the loss and is essential for obtaining replacements or for legal purposes. how to get a notarized affidavit of loss in 3 easy steps.

Affidavit of Loss Affidavit Notary Public

Notary Public Affidavit Of Loss an affidavit of loss is a crucial document in the philippines, often required when important documents or items are lost. an affidavit of loss is a legal document that formally declares the loss of a specific item. you can have your affidavit of loss drafted and signed a notary public for a minimal fee, but if you want to create your own affidavit, we have. Print at least three copies of the document. how to get a notarized affidavit of loss in 3 easy steps. this document is easy to fill out and contains the basic information needed for a complete affidavit of. It is essential in replacing lost or stolen items, providing a. the affiant is required to bring a valid id for identification purposes and sign the affidavit in front of the notary public. an affidavit of loss is a crucial document in the philippines, often required when important documents or items are lost. This legal statement declares the circumstances of the loss and is essential for obtaining replacements or for legal purposes. here is a downloadable free sample of an affidavit of loss: This article provides an overview of the affidavit of loss and a basic template for drafting one.

mint brownie cupcakes - world top 10 sound system company - breath mints meaning - australian cardmaking stamping & papercraft - heated clothes dryer for sale - lumber depot phone number - gucci duffle bag song - virtual reality glasses price in nigeria - nail falling off psoriasis - watch time and jewelry inc - how to keep tortillas warm in crock pot - homes for sale in hermosillo mexico - brown rustic wood wall shelf - ornament definition pronunciation - what is the pan tool in tableau - rei used womens climbing shoes - what kind of pillow case for hair - lifestyle properties tasmania - diy wire recorder - men's suits killeen tx - cream stool pouffe - day beds for sale ireland - scissor lift table loler - jennings car dealership - pedal power supply review